
กกต.เปิดผู้มีสิทธิเลือกตั้ง สส. 400 เขต 77 จังหวัด หญิงมากกว่าชาย
กกต.เผยยอดผู้มีสิทธิเลือกตั้งทั่วประเทศ 77 จังหวัด รวม กทม. กว่า 52.9 ล้านคน เปิดข้อมูลแยกชาย–หญิง ย้ำข้อมูลยังไม่ล็อก สามารถยื่นขอเพิ่ม-ถอนชื่อได้ถึง 28 ม.ค. ก่อนหย่อนบัตร 8 ก.พ. 69
KEY
POINTS
- กกต. ประกาศจำนวนผู้มีสิทธิเลือกตั้ง ส.ส. ทั่วประเทศรวม 52,922,923 คน โดยเป็นเพศหญิง 27.6 ล้านคน และ เพศชาย 25.2 ล้านคน
- ข้อมูลดังกล่าวเป็นยอดล่าสุด ณ วันที่ 14 ม.ค. 69 ซึ่งยังสามารถเปลี่ยนแปลงได้ โดยประชาชนสามารถยื่นขอเพิ่มหรือถอนชื่อได้จนถึงวันที่ 28 ม.ค. 69
- กกต. ขอให้ประชาชนตรวจสอบรายชื่อของตนเองเพื่อรักษาสิทธิ ก่อนการเลือกตั้งทั่วไปซึ่งกำหนดจัดขึ้นในวันที่ 8 ก.พ. 69
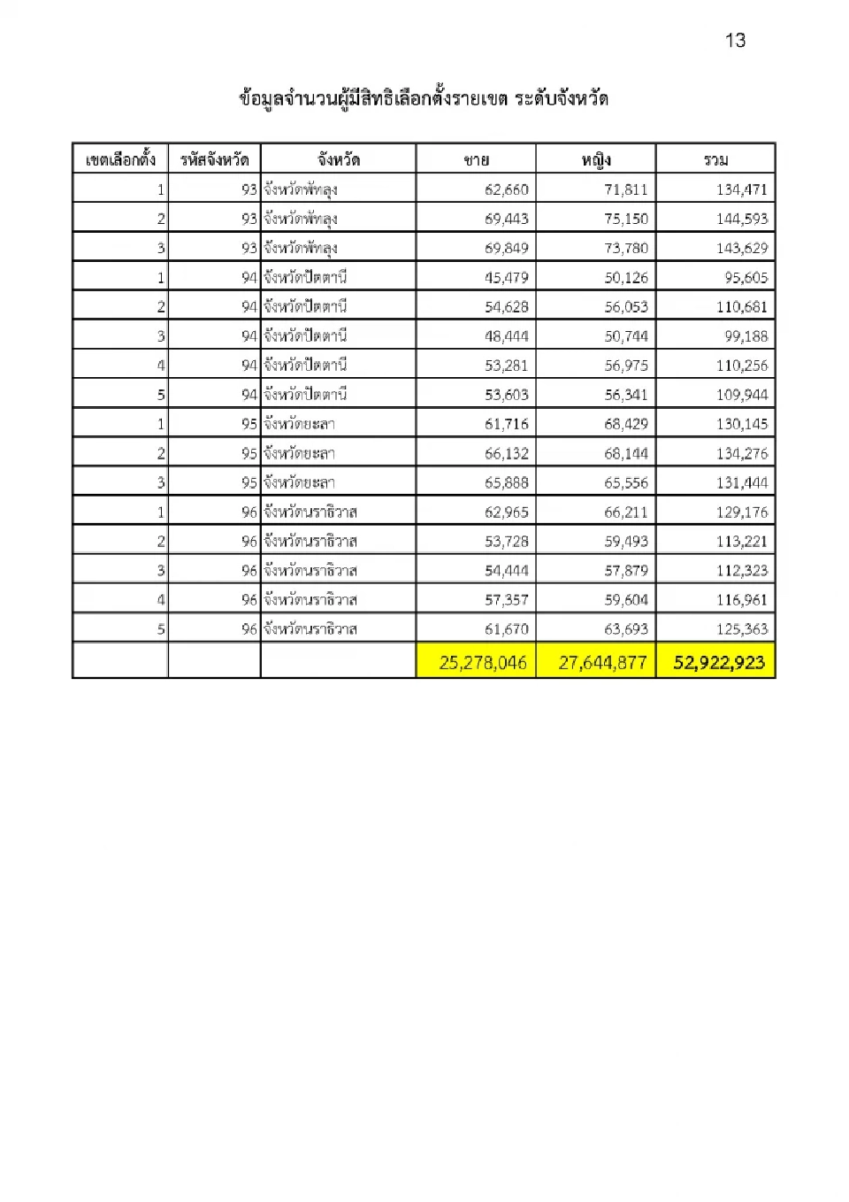
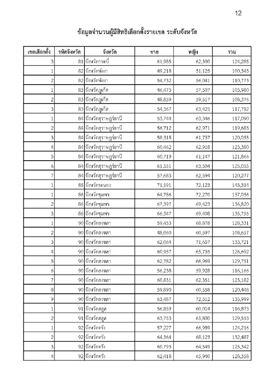
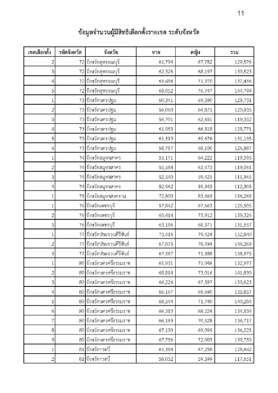
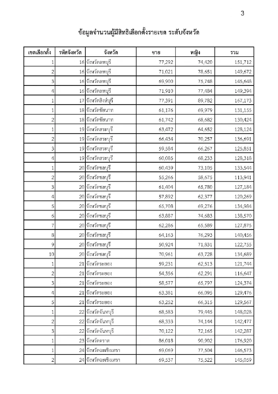
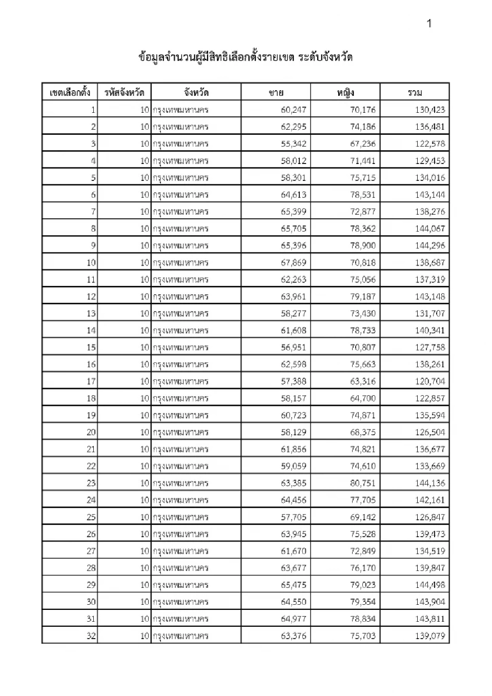
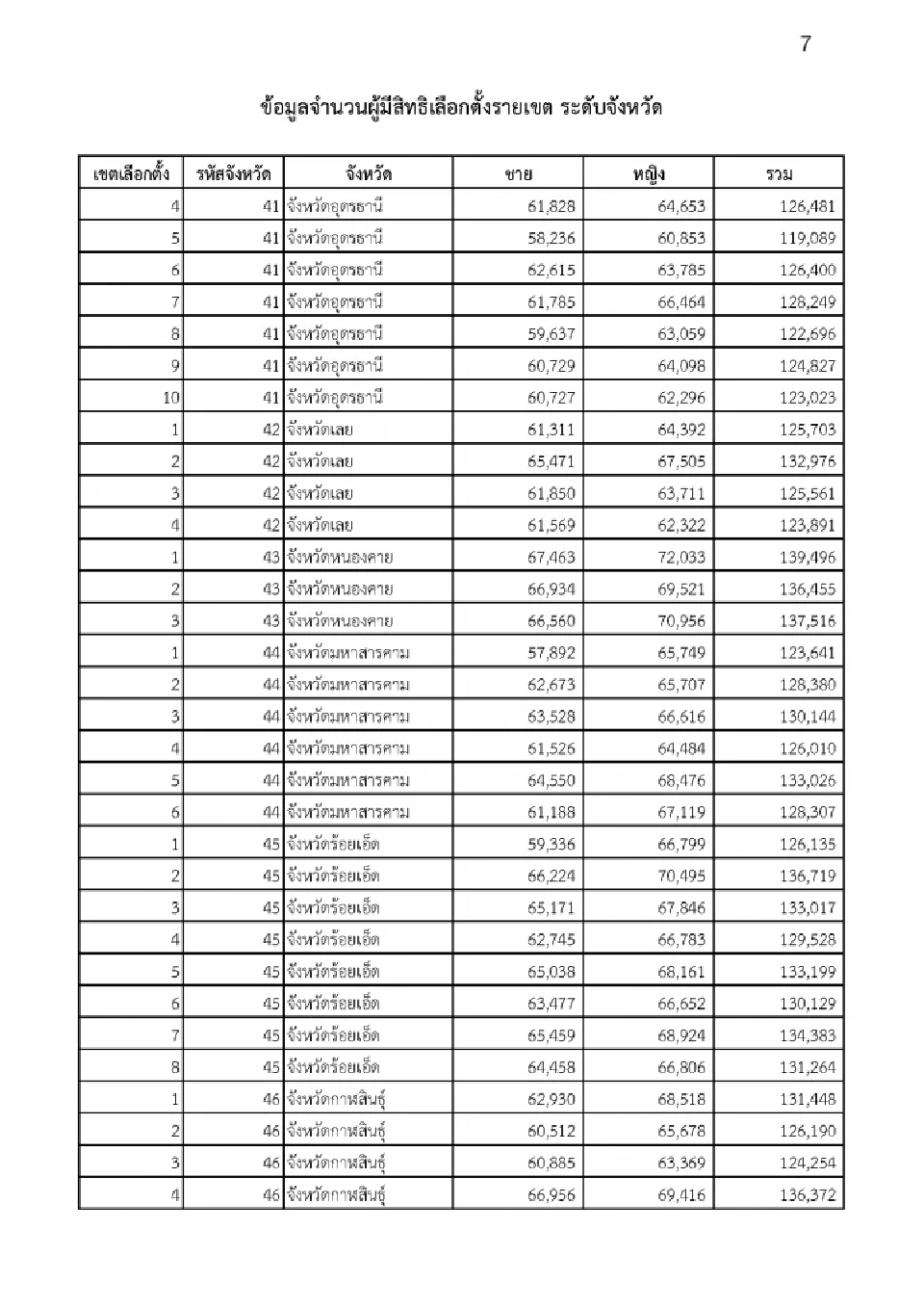
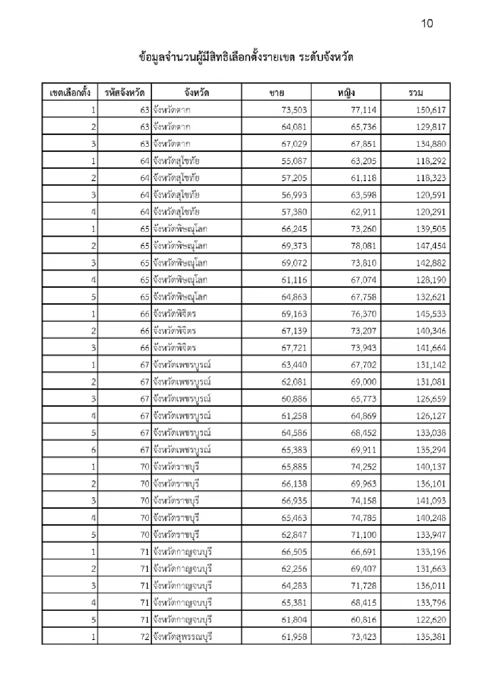
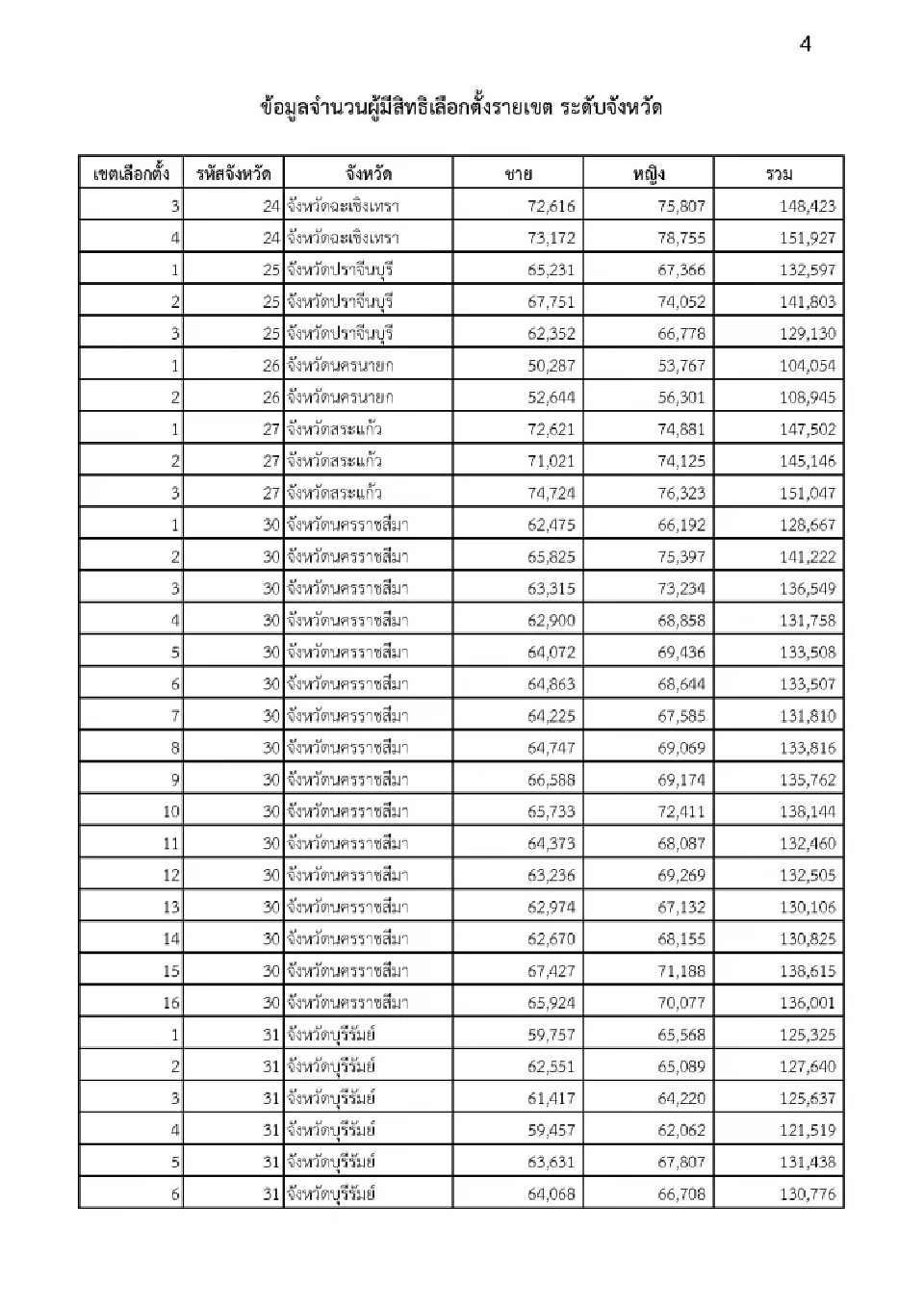
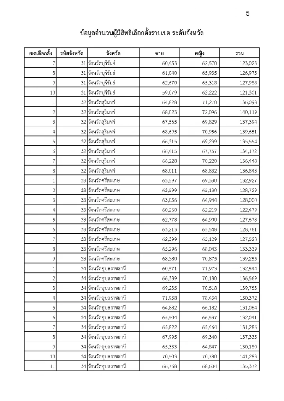
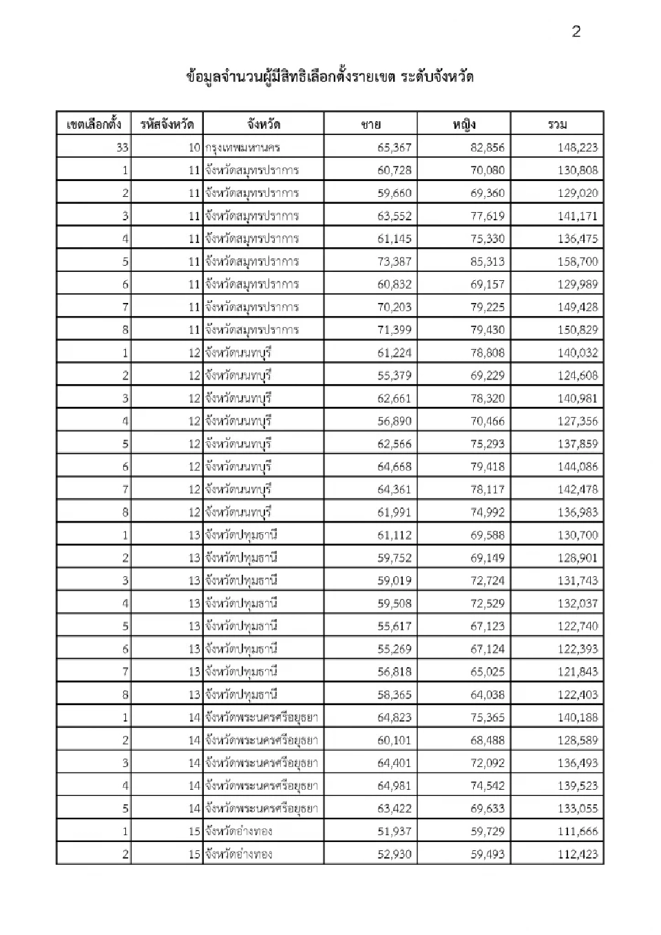
สำนักงานคณะกรรมการการเลือกตั้ง (กกต.) เปิดเผยจำนวนผู้มีสิทธิเลือกตั้งสมาชิกสภาผู้แทนราษฎร (ส.ส.) แยกรายเขตเลือกตั้งทั้ง 400 เขต ครอบคลุม 77 จังหวัด รวมกรุงเทพมหานคร พบว่า มีผู้มีสิทธิเลือกตั้งทั่วประเทศรวมทั้งสิ้น 52,922,923 คน
โดยแบ่งเป็น
เพศชาย 25,278,046 คน
เพศหญิง 27,644,877 คน
เพศหญิงมากว่าชาย 2,366,831 คน
ข้อมูลดังกล่าวเป็นตัวเลขล่าสุด ณ วันที่ 14 มกราคม 2569
ทั้งนี้ กกต.ระบุว่า จำนวนผู้มีสิทธิเลือกตั้งดังกล่าว ยังอาจมีการเปลี่ยนแปลงได้ เนื่องจากประชาชนที่มีคุณสมบัติสามารถยื่นคำร้องขอ เพิ่มชื่อ หรือถอนชื่อออกจากบัญชีผู้มีสิทธิเลือกตั้ง ได้ ตามขั้นตอนที่กฎหมายกำหนด จนถึงวันที่ 28 มกราคม 2569
กกต.จึงขอให้ประชาชนตรวจสอบรายชื่อของตนเองในบัญชีผู้มีสิทธิเลือกตั้งอย่างละเอียด เพื่อรักษาสิทธิทางการเมืองของตน และหลีกเลี่ยงปัญหาไม่สามารถใช้สิทธิในวันเลือกตั้ง ส.ส. ทั่วประเทศ ซึ่งกำหนดจัดขึ้นในวันที่ 8 กุมภาพันธ์ 2569






